Purification engineering technology research center of Sichuan Province Natural Medicine
四川省天然药物分离纯化工程技术研究中心
公司要闻
天然产物来源的新药研究进展
本文来自: 发布时间:2024-04-19

天然产物(NPs)是从植物、动物、微生物和海洋生物中提取和分离出来的具有特定活性的次级代谢物。随着分析技术和鉴定方法的进步,迄今已鉴定出约150000-300000种具有明确结构的天然产物。虽然近几十年来合成药物化学和高通量虚拟筛选的发展导致从NPs开发的新药比例下降,但从天然来源寻找新型疗法仍然是药物开发的重要途径。

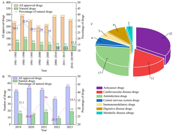
图1 获批天然药物的统计数据和本综述中的药物分类
(A) 1981年至2019年天然药物在所有获批药物中所占的百分比
(B) 2019年至2023年FDA批准的所有药物中天然药物的百分比
(C) 65 种天然产品按疾病分类
根据各种疾病的临床治疗需求,本综述介绍了65种具有代表性的药物,这些药物或直接来源于天然产物,或来源于天然产物的衍生物。这些药物已获得国家医药产品管理局(NMDA)、美国食品药品监督管理局(FDA)、欧洲药品管理局和日本药品医疗器械管理局等监管机构的批准。在这些药物中,有29种是在中国开发的,其余36种是在国际上获得批准的。




天然产物的药物开发具有多种优势,这些优势源于生物体内酶催化的生物合成过程,包括生物相容性更强、化学结构修饰多样化的潜力以及可利用的化学空间更广。因此,天然产物可与生物靶标发生有效作用,表现出显著的生物活性。此外,天然产物在其所处环境中还会经历自然选择和进化,从而使其具备更强的适应性。由于天然产物是与生物系统共同进化而来的,因此与化学合成化合物相比,这种进化上的改进往往会带来更优越的安全性。传统中医药(TCM)拥有丰富的医药实践历史记录,进一步彰显了天然产物的潜力。中医为发现具有临床价值的化合物提供了肥沃的土壤,这些化合物既安全又有效,经过了数百年的利用和提炼。这种历史和实践背景提高了发现具有治疗功效的非处方药的可能性,使其成为不断寻找有效新药的宝贵资源。
天然产物的最大优势在于其化学结构的多样性,这决定了其靶向作用的多样性,并在药物的开发中发挥着至关重要的作用。在未来的研究中,应重视天然产物化学、药物化学、药理学、化学生物学和其他相关领域的跨学科合作,以提高基于天然产物的新药发现的成功率。例如,化学生物学可用于利用天然产物错综复杂的化学结构探索新靶点。深入研究生物学有助于鉴定和筛选具有创新化学结构的活性天然化合物。此外,还可利用人工智能、生物信息学、纳米生物技术和抗体偶联药物设计等新兴技术,在这些化合物中引入药效团和杂原子,以增强生物活性并降低毒性。此外,还应注意通过各种方法提高溶解度、生物利用度和药动学特性。涉及半合成方法、全合成方法和生物合成的解决方案可用于有效应对与有效寻找候选新药相关的挑战。多学科合作的推进和新兴技术的全面集成将加强对天然产物动力学的研究,解决其药物开发中的现有限制,并促进更多基于天然产物的药物获得批准和临床应用。因此,天然产物将在促进中国和世界人民的健康和福祉方面发挥越来越重要的作用。
文章信息:LUO Zhongwen, YIN Fucheng, WANG Xiaobing, KONG Lingyi. Progress in approved drugs from natural product resources [J].Chin J Nat Med, 2024, 22(3): 195-211.
原文链接:
http://www.cjnmcpu.com/en/article/doi/10.1016/S1875-5364(24)60582-0
翻译会存在差异,具体信息请查看原文了解